Building DMFT calculations¶
TRIQS includes all basic ingredients to write DMFT computations: Green’s functions and impurity solvers. The self-consistency condition is assembled from these ingredients, using the basic operations on Green’s function (arithmetic operations, slicing, ...).
There is no general DMFT computation class that would handle all cases, just the bricks to build them easily. Here’s an example:
Plain-vanilla DMFT: the Bethe lattice¶
Here is a complete computation of a single-site DMFT on a Bethe lattice
[script]:
from pytriqs.gf.local import *
from pytriqs.operators import *
from pytriqs.archive import *
import pytriqs.utility.mpi as mpi
from pytriqs.applications.impurity_solvers.cthyb import Solver
# Set up a few parameters
U = 2.5
half_bandwidth = 1.0
chemical_potential = U/2.0
beta = 100
n_loops = 5
# Construct the CTQMC solver
S = Solver(beta = beta, gf_struct = {'up':[0], 'down':[0]})
# Initalize the Green's function to a semi circular DOS
S.G_iw << SemiCircular(half_bandwidth)
# Now do the DMFT loop
for i_loop in range(n_loops):
# Compute new S.G0_iw with the self-consistency condition while imposing paramagnetism
g = 0.5 * (S.G_iw['up'] + S.G_iw['down'])
for name, g0 in S.G0_iw:
g0 << inverse(iOmega_n + chemical_potential - (half_bandwidth/2.0)**2 * g)
# Run the solver
S.solve(h_int = U * n('up',0) * n('down',0), # Local Hamiltonian
n_cycles = 5000, # Number of QMC cycles
length_cycle = 200, # Length of a cycle
n_warmup_cycles = 1000) # How many warmup cycles
# Some intermediate saves
if mpi.is_master_node():
with HDFArchive("dmft_solution.h5") as ar:
ar["G_tau-%s"%i_loop] = S.G_tau
ar["G_iw-%s"%i_loop] = S.G_iw
ar["Sigma_iw-%s"%i_loop] = S.Sigma_iw
# Here we could write some convergence test
# if converged : break
The solver has been discussed above, so let us just emphasize that the DMFT loop itself is polymorphic: it would run as well with any other solver, as long as it provides G0_iw and G_tau attributes. Even if here the self-consistency condition is very simple, this property would still be true in more complex cases.
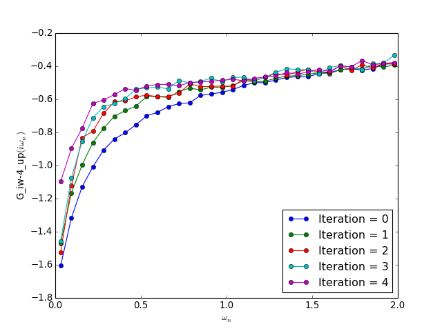
This run generates a file single_site_bethe.h5 containing the Green’s function
at every iteration. You can plot them to see the convergence on the solver:
from pytriqs.gf.local import *
from pytriqs.archive import *
from pytriqs.plot.mpl_interface import oplot, plt
with HDFArchive("dmft_solution.h5",'r') as ar:
for i in range(5):
oplot(ar['G_iw-%i'%i]['up'], '-o', mode = 'I',
label = 'Iteration = %s'%i,
x_window = (0,2))
plt.legend(loc=4)
(Source code, png, hires.png, pdf)
